Моё меню Общее меню Сообщество Правила форума Все прочитано
Вернуться   uForum.uz > БЕСЕДКА > Разминка для мозгов
Сообщения за день Поиск
Знаете ли Вы, что ...
...нарушения правил форума наказываются. Старайтесь их не нарушать.
<< Предыдущий совет - Случайный совет - Следующий совет >>

Разминка для мозгов Загадки, задачи, головоломки - тренируем мозг


Ответить

 
Опции темы Опции просмотра
Старый 12.09.2013 01:27   #1  
Known ID Group
Аватар для Barbedo
Оффлайн
Сообщений: 924
+ 685  538/329
– 2  0/0

Uzbekistan
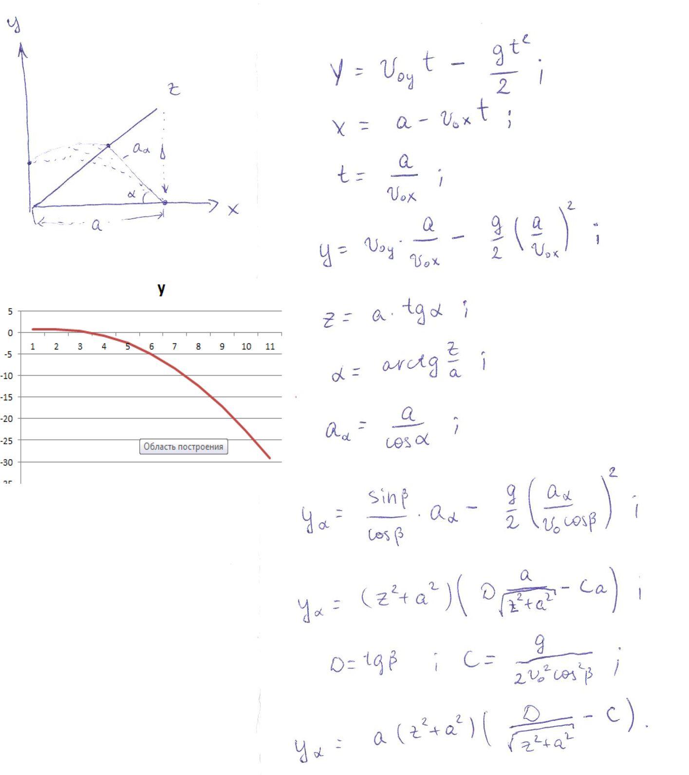
Капленоида

Из крана периодически капает вода, капли падают вертикально в воду в бассейне, вертикальная стенка которого находится на расстоянии а от линии падения капель. При падении капля выбивает брызги с поверхности воды. Допустим, брызги разлетаются всегда под углом b к поверхности. Какую кривую образуют на стенке бассейна точки падения брызг на неё?
__________________
geom.uz
Ответить 
Старый 11.10.2013 11:07   #2  
Заблокирован(а)
Аватар для Timofeus
Оффлайн
Люмпен-инженерий
Сообщений: 2,866
+ 1,124  2,154/948
– 21  65/46

Uzbekistan
Что-то получилось.

Ответить 
"+" от:
Старый 11.10.2013 11:47   #3  
Known ID Group uParty Member
Аватар для Dolphin
Оффлайн
Imperium of Man
Inquisitor
Сообщений: 5,990
+ 5,680  4,442/2,033
– 128  137/102

Russian FederationОтправить сообщение для Dolphin с помощью ICQОтправить сообщение для Dolphin с помощью Skype™Facebook
Если вода из бассейна не выливается и падающие капли его наполняют и брызги всегда летят в сторону стенки и только туда - то отрезок прямой.
Ответить 
Старый 11.10.2013 18:44   #4  
Real ID Group uParty Member Ultimate
Аватар для Nadir Zaitov
Оффлайн
Сообщений: 13,210
+ 4,958  9,176/3,940
– 170  137/105

UzbekistanОтправить сообщение для Nadir Zaitov с помощью Skype™
Цитата:
Сообщение от Dolphin Посмотреть сообщение
Если вода из бассейна не выливается и падающие капли его наполняют и брызги всегда летят в сторону стенки и только туда - то отрезок прямой.
Нужно думать, что капли летят по пораболе, которую вращают вокруг вертикальной оси вращения, исходящей из точки падения изначальной капли. Есть мысль, что и фигура на стене должна быть пораболой, но возможно более высокого (4-го) порядка.
__________________
Тот факт, что медуза выжила 650 миллионов лет без мозгов, даёт надежду многим.
Ответить 
Старый 17.10.2013 16:54   #5  
Real ID Group uParty Member Ultimate
Аватар для Nadir Zaitov
Оффлайн
Сообщений: 13,210
+ 4,958  9,176/3,940
– 170  137/105

UzbekistanОтправить сообщение для Nadir Zaitov с помощью Skype™
0. Траектория капли брызг воды описывается уравнениями (по параметру t):



Но нас время (t) не устраивает. Нам нужно что-то более простое - расстояние от точки падения капли до стены бассейна. Назовем его Sy.



1. Всегда важно получить внятную систему координат. Пусть начало координат находится в точке О, ближайшей к точке А - падения капли на поверхность бассейна, ось X проходит горизонтально поверхности воды, а ось Z - вертикально. Ось Y перпендикулярна плоскости стены бассейна, т.е. по поверхности воды проходит через точку А. Тогда Sy можно заменить на .

2. Осталось заменить переменные и увидеть итоговую формулу:


Теперь уберем все константы и получим, что искомая фигура имеет вид:


UPD: Более точно (формально ведь капли не могут упасть ниже уровня воды - т.е. они не долетят до стены) должно быть так:
__________________
Тот факт, что медуза выжила 650 миллионов лет без мозгов, даёт надежду многим.

Последний раз редактировалось Nadir Zaitov; 18.10.2013 в 11:00.
Ответить 
Ответить




Powered by vBulletin® Version 3.8.5
Copyright ©2000 - 2025, Jelsoft Enterprises Ltd. Перевод: zCarot
Advertisement System V2.5 By Branden
OOO «Единый интегратор UZINFOCOM»


Новые 24 часа Кто на форуме Новички Поиск Кабинет Все прочитано Вверх