Моё меню Общее меню Сообщество Правила форума Все прочитано
Вернуться   uForum.uz > ТЕМАТИЧЕСКИЕ ФОРУМЫ > Образование > ZiyoNET
Сообщения за день Поиск
Знаете ли Вы, что ...
...для каждой темы существует свой раздел. Изучите структуру форума. Если соответствующего раздела нет, то всегда есть раздел "Разное" :)
<< Предыдущий совет - Случайный совет - Следующий совет >>

ZiyoNET Общественная образовательная сеть ZiyoNET


Ответить

 
Опции темы Опции просмотра
Старый 23.09.2009 15:04   #1481  
Аватар для Nigora Umarova
Оффлайн
AKA:Nigorabegim
Сообщений: 8,095
+ 8,360  10,318/4,529
– 37  58/50

UzbekistanОтправить сообщение для Nigora Umarova с помощью ICQОтправить сообщение для Nigora Umarova с помощью Skype™Мой КругFacebook
Цитата:
Сообщение от Behzod Saidov Посмотреть сообщение
Цитата:
Сообщение от Kumushoy Посмотреть сообщение
Челак квадрат шаклда булишини биринчи марта эшитишим
Оффтоп:
Кўришингиз.
Оффтоп:
Uforumда хамма нарса булиши мумкин. :-)
Ответить 
Старый 23.09.2009 15:16   #1482  
Аватар для insider
Оффлайн
Engineer
Сообщений: 509
+ 45  169/112
– 0  12/9

Uzbekistan
Цитата:
Сообщение от qaha111 Посмотреть сообщение
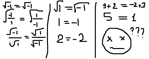
Yana bir savol 1=5 ga tenglikni kim isbotlab bera oladi ?
5=5
a=5, b=1, c=4
a=b+c
a(a-b)=(b+c)(a-b)
a^2-ab=ab+ac-b^2-bc
a^2-ab-ac=ab-b^2-bc
a(a-b-c)=b(a-b-c)
a=b
5=1
Ответить 
"+" от:
Старый 23.09.2009 18:40   #1483  
Real ID Group uParty Member
Аватар для Behzod Saidov
Оффлайн
Сообщений: 1,088
+ 739  628/355
– 11  3/3

UzbekistanОтправить сообщение для Behzod Saidov с помощью Skype™Аккаунт на Twitter
Цитата:
Сообщение от insider Посмотреть сообщение
5=5
a=5, b=1, c=4
a=b+c
a(a-b)=(b+c)(a-b)
a^2-ab=ab+ac-b^2-bc
a^2-ab-ac=ab-b^2-bc
a(a-b-c)=b(a-b-c)
a=b
5=1
Shunaqa 0ga ko'paytirish bilan nafaqat 5=1 ekanligini, balki har qanday sonning bir biriga tengligini "isbotlash" mumkin bo'lsa kerak.
Ответить 
"+" от:
Старый 23.09.2009 19:09   #1484  
Аватар для insider
Оффлайн
Engineer
Сообщений: 509
+ 45  169/112
– 0  12/9

Uzbekistan

Ответить 
"+" от:
Реклама и уведомления
Старый 23.09.2009 20:37   #1485  
Real ID Group uParty Member
Аватар для Behzod Saidov
Оффлайн
Сообщений: 1,088
+ 739  628/355
– 11  3/3

UzbekistanОтправить сообщение для Behzod Saidov с помощью Skype™Аккаунт на Twitter
Цитата:
Сообщение от insider Посмотреть сообщение

Obboo... Endi manfiy sonni kvadrat ildizdan chiqaramizmi?

Xullas, "2x2=5"ni isbotlash tipidagi urinishlarni hammasi shu ahvol.
Mantiqiy savollarga qaytsakchi a?
Ответить 
2 "+" от:
Старый 23.09.2009 20:47   #1486  
uParty Member Known ID Group
Аватар для Husniddin Ato
Оффлайн
Erkin ijodkor
Musiqachi, Musiqashunos, Photographer
Сообщений: 303
+ 603  510/147
– 4  4/1

UzbekistanОтправить сообщение для Husniddin Ato с помощью ICQОтправить сообщение для Husniddin Ato с помощью YahooОтправить сообщение для Husniddin Ato с помощью Skype™
Цитата:
Сообщение от Behzod Saidov Посмотреть сообщение
Цитата:
Сообщение от insider Посмотреть сообщение

Obboo... Endi manfiy sonni kvadrat ildizdan chiqaramizmi?

Xullas, "2x2=5"ni isbotlash tipidagi urinishlarni hammasi shu ahvol.
Mantiqiy savollarga qaytsakchi a?
Manimcha insider sizlarni sinayatgan ko`rinadilar?
__________________
Do`st orttir! Do`st orttir! Do`st orttir! Birlashtir!
Ответить 
Старый 24.09.2009 02:32   #1487  
Known ID Group uParty Member Ultimate
Аватар для JH
Оффлайн
Сообщений: 10,921
+ 3,666  10,931/4,676
– 584  286/214

Uzbekistan
Mana sizlarga chiroyli mantiqiy savol. Internetda javobi bor, albatta.

Yomg'ir yog'ib yotipti, o't o'chiruvchilar mashinalari yordamida asfaltga suv quyishyapti. Yong'in yo'q. Bir necha daqiqadan keyin nima boshlanadi?

Последний раз редактировалось JH; 24.09.2009 в 02:37.
Ответить 
Старый 24.09.2009 08:15   #1488  
Real ID Group uParty Member
Аватар для Kahramon Jalilov
Оффлайн
Аналитик
админ ДСИ
AKA:designer
Сообщений: 1,104
+ 781  680/330
– 24  11/7

UzbekistanОтправить сообщение для Kahramon Jalilov с помощью YahooОтправить сообщение для Kahramon Jalilov с помощью Skype™LiveJournalМой КругАккаунт на TwitterМой мир
Цитата:
Сообщение от pipicron Посмотреть сообщение
Agar paqir trapetsiya shaklida bo'lsa javob no'to'gri. Shunday emasmi?
Siz geometriyani yahshi bilmas ekansiz paqir hoh trapesiya bo'lsin hoh aylana baribir uning yarim o'g'ishi orqali yarim qilish mumkin 1=5 ga tenglashni yana boshqacha usuli mavjud men kvadrat belgisini ^ belgi qilib olaman mana u quyidgicha :
1=5
1-3=5-3
-2=2
(-2)^2=(2)^2
4=4
hatoyimni topinglarchi ?
Ответить 
Старый 24.09.2009 08:22   #1489  
Real ID Group uParty Member
Аватар для Kahramon Jalilov
Оффлайн
Аналитик
админ ДСИ
AKA:designer
Сообщений: 1,104
+ 781  680/330
– 24  11/7

UzbekistanОтправить сообщение для Kahramon Jalilov с помощью YahooОтправить сообщение для Kahramon Jalilov с помощью Skype™LiveJournalМой КругАккаунт на TwitterМой мир
Цитата:

a(a-b-c)=b(a-b-c)

Hatolik mana shu yerda chunki 0 ni 0 ga bo'lib bo'lmaydi hatto kalkulator ham hato degan yozuvni chiqarib beradi!!!
Ответить 
Старый 24.09.2009 10:40   #1490  
Known ID Group
Аватар для JUS
Оффлайн
Сообщений: 1,829
+ 814  1,598/765
– 60  19/16

Saudi Arabia
Цитата:
Сообщение от qaha111 Посмотреть сообщение
Цитата:
Сообщение от pipicron Посмотреть сообщение
Agar paqir trapetsiya shaklida bo'lsa javob no'to'gri. Shunday emasmi?
Siz geometriyani yahshi bilmas ekansiz paqir hoh trapesiya bo'lsin hoh aylana baribir uning yarim o'g'ishi orqali yarim qilish mumkin 1=5 ga tenglashni yana boshqacha usuli mavjud men kvadrat belgisini ^ belgi qilib olaman mana u quyidgicha :
1=5
1-3=5-3
-2=2
(-2)^2=(2)^2
4=4
hatoyimni topinglarchi ?
Оффтоп:
Войдооод!!! Maestro қаердасиз? Ёрдам беринг
Ответить 
Ответить




Powered by vBulletin® Version 3.8.5
Copyright ©2000 - 2026, Jelsoft Enterprises Ltd. Перевод: zCarot
Advertisement System V2.5 By Branden
OOO «Единый интегратор UZINFOCOM»


Новые 24 часа Кто на форуме Новички Поиск Кабинет Все прочитано Вверх